Упражнение 38.3 ГДЗ Мерзляк 10 класс Углубленный уровень (Алгебра)
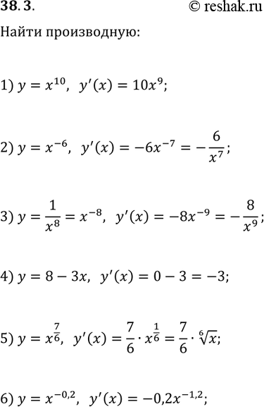
38.3. Найдите производную функции: 1) y=x^10; 3) y=1/x^8; 5) y=x^(7/6); 2) y=x^(-6); 4) y=8-3x; 6) y=x^(-0,2). *Цитирирование задания со ссылкой на учебник производится исключительно в учебных целях для лучшего понимания разбора решения задания.

Ниже вариант решения задания из учебника Мерзляк, Номировский, Поляков 10 класс, Просвещение:
38.3. Найдите производную функции:
1) y=x^10; 3) y=1/x^8; 5) y=x^(7/6);
2) y=x^(-6); 4) y=8-3x; 6) y=x^(-0,2).
