Упражнение 43.10 ГДЗ Мерзляк 10 класс Углубленный уровень (Алгебра)
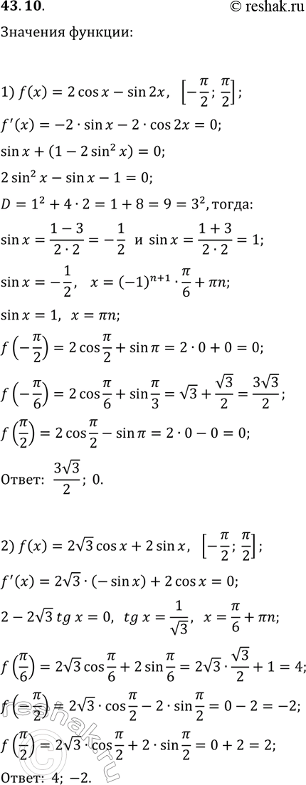
43.10. Найдите наибольшее и наименьшее значения функции f на указанном отрезке: 1) f(x)=2cos(x)-sin(2x), [-?/2; ?/2]; 2) f(x)=2v3cos(x)-2sin(x), [-?/2; ?/2]. *Цитирирование задания со ссылкой на учебник производится исключительно в учебных целях для лучшего понимания разбора решения задания.
![Решение задачи: 43.10. Найдите наибольшее и наименьшее значения функции f на указанном отрезке: 1) f(x)=2cos(x)-sin(2x), [-?/2; ?/2]; 2) f(x)=2v3cos(x)-2sin(x), [-?/2; ?/2]. *Цитирирование задания со ссылкой на учебник производится исключительно в учебных целях для лучшего понимания разбора решения задания.](solutions/algebra/10/635/1-43-10.png)
Ниже вариант решения задания из учебника Мерзляк, Номировский, Поляков 10 класс, Просвещение:
43.10. Найдите наибольшее и наименьшее значения функции f на указанном отрезке:
1) f(x)=2cos(x)-sin(2x), [-?/2; ?/2]; 2) f(x)=2v3cos(x)-2sin(x), [-?/2; ?/2].
