Упражнение 43.5 ГДЗ Мерзляк 10 класс Углубленный уровень (Алгебра)
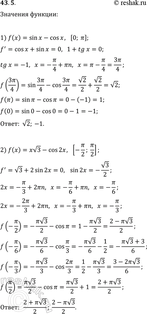
43.5. Найдите наибольшее и наименьшее значения функции f на указанном отрезке: 1) f(x)=sin(x)-cos(x), [0; ?]; 2) f(x)=xv3-cos(2x), [-?/2; ?/2]. *Цитирирование задания со ссылкой на учебник производится исключительно в учебных целях для лучшего понимания разбора решения задания.
![Решение задачи: 43.5. Найдите наибольшее и наименьшее значения функции f на указанном отрезке: 1) f(x)=sin(x)-cos(x), [0; ?]; 2) f(x)=xv3-cos(2x), [-?/2; ?/2]. *Цитирирование задания со ссылкой на учебник производится исключительно в учебных целях для лучшего понимания разбора решения задания.](solutions/algebra/10/635/1-43-5.png)
Ниже вариант решения задания из учебника Мерзляк, Номировский, Поляков 10 класс, Просвещение:
43.5. Найдите наибольшее и наименьшее значения функции f на указанном отрезке:
1) f(x)=sin(x)-cos(x), [0; ?]; 2) f(x)=xv3-cos(2x), [-?/2; ?/2].
