Упражнение 43.6 ГДЗ Мерзляк 10 класс Углубленный уровень (Алгебра)
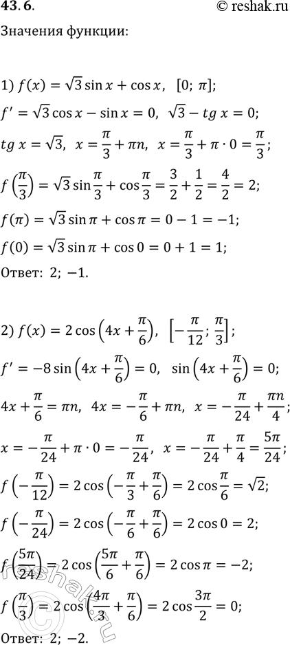
43.6. Найдите наибольшее и наименьшее значения функции f на указанном отрезке: 1) f(x)=v3sin(x)+cos(x), [0; ?]; 2) f(x)=2cos(4x+?/6), [-?/12; ?/3]. *Цитирирование задания со ссылкой на учебник производится исключительно в учебных целях для лучшего понимания разбора решения задания.
![Решение задачи: 43.6. Найдите наибольшее и наименьшее значения функции f на указанном отрезке: 1) f(x)=v3sin(x)+cos(x), [0; ?]; 2) f(x)=2cos(4x+?/6), [-?/12; ?/3]. *Цитирирование задания со ссылкой на учебник производится исключительно в учебных целях для лучшего понимания разбора решения задания.](solutions/algebra/10/635/1-43-6.png)
Ниже вариант решения задания из учебника Мерзляк, Номировский, Поляков 10 класс, Просвещение:
43.6. Найдите наибольшее и наименьшее значения функции f на указанном отрезке:
1) f(x)=v3sin(x)+cos(x), [0; ?]; 2) f(x)=2cos(4x+?/6), [-?/12; ?/3].
