Упражнение 43.32 ГДЗ Мерзляк 10 класс Углубленный уровень (Алгебра)
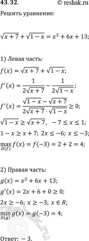
43.32. Решите уравнение v(x+7)+v(1-x)=x^2+6x+13. *Цитирирование задания со ссылкой на учебник производится исключительно в учебных целях для лучшего понимания разбора решения задания.

Ниже вариант решения задания из учебника Мерзляк, Номировский, Поляков 10 класс, Просвещение:
43.32. Решите уравнение v(x+7)+v(1-x)=x^2+6x+13.
