Упражнение 44.1 ГДЗ Мерзляк 10 класс Углубленный уровень (Алгебра)
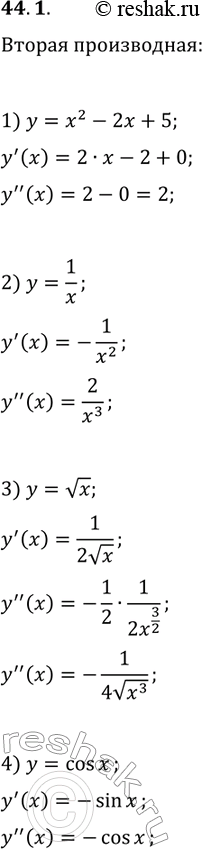
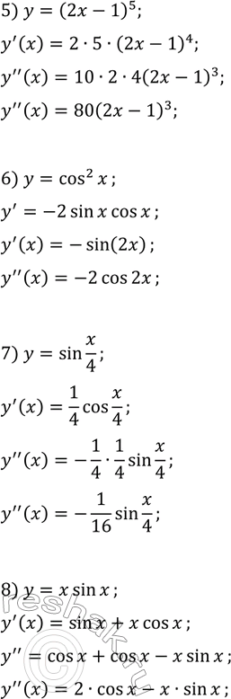
44.1. Найдите вторую производную функции: 1) y=x^2-2x+5; 4) y=cos(x); 7) y=sin(x/4); 2) y=1/x; 5) y=(2x-1)^5; 8) y=x sin(x). 3) y=vx; 6) y=cos^2(x);


Ниже вариант решения задания из учебника Мерзляк, Номировский, Поляков 10 класс, Просвещение:
44.1. Найдите вторую производную функции:
1) y=x^2-2x+5; 4) y=cos(x); 7) y=sin(x/4);
2) y=1/x; 5) y=(2x-1)^5; 8) y=x sin(x).
3) y=vx; 6) y=cos^2(x);
