Упражнение 44.3 ГДЗ Мерзляк 10 класс Углубленный уровень (Алгебра)
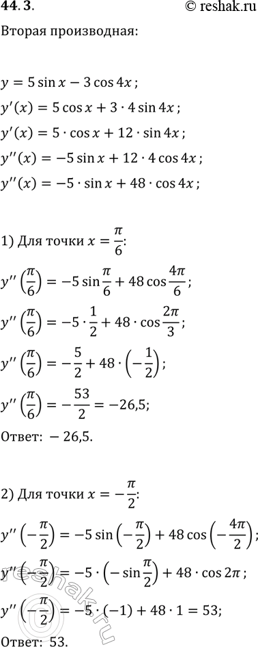
44.3. Чему равно значение второй производной функции y=5sin(x)-3cos(4x) в точке: 1) x=?/6; 2) x=-?/2? *Цитирирование задания со ссылкой на учебник производится исключительно в учебных целях для лучшего понимания разбора решения задания.

Ниже вариант решения задания из учебника Мерзляк, Номировский, Поляков 10 класс, Просвещение:
44.3. Чему равно значение второй производной функции y=5sin(x)-3cos(4x) в точке: 1) x=?/6; 2) x=-?/2?
