Упражнение 44.2 ГДЗ Мерзляк 10 класс Углубленный уровень (Алгебра)
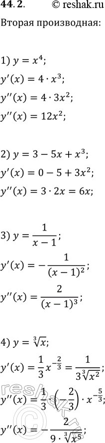
44.2. Найдите вторую производную функции: 1) y=x^4; 4) y=x^(1/3); 7) y=sin^2(x); 2) y=3-5x+x^3; 5) y=(1-3x)^3; 8) y=x cos(x). 3) y=1/(x-1); 6) y=cos(2x);


Ниже вариант решения задания из учебника Мерзляк, Номировский, Поляков 10 класс, Просвещение:
44.2. Найдите вторую производную функции:
1) y=x^4; 4) y=x^(1/3); 7) y=sin^2(x);
2) y=3-5x+x^3; 5) y=(1-3x)^3; 8) y=x cos(x).
3) y=1/(x-1); 6) y=cos(2x);
