Упражнение 48.7 ГДЗ Мерзляк 10 класс Углубленный уровень (Алгебра)
48.7. Докажите, что при любом n?Z значение выражения: 1) n^3+3n^2+2n кратно 6; 2) n^4-n^2 кратно 12. *Цитирирование задания со ссылкой на учебник производится исключительно в учебных целях для лучшего понимания разбора решения задания.

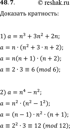
Ниже вариант решения задания из учебника Мерзляк, Номировский, Поляков 10 класс, Просвещение:
48.7. Докажите, что при любом n?Z значение выражения:
1) n^3+3n^2+2n кратно 6; 2) n^4-n^2 кратно 12.
