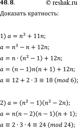
Упражнение 48.8 ГДЗ Мерзляк 10 класс Углубленный уровень (Алгебра)
48.8. Докажите, что при любом n?Z значение выражения: 1) n^3+11n кратно 6; 2) (n^2-1)(n^2-2n) кратно 24. *Цитирирование задания со ссылкой на учебник производится исключительно в учебных целях для лучшего понимания разбора решения задания.

Ниже вариант решения задания из учебника Мерзляк, Номировский, Поляков 10 класс, Просвещение:
48.8. Докажите, что при любом n?Z значение выражения:
1) n^3+11n кратно 6; 2) (n^2-1)(n^2-2n) кратно 24.
