Упражнение 48.10 ГДЗ Мерзляк 10 класс Углубленный уровень (Алгебра)
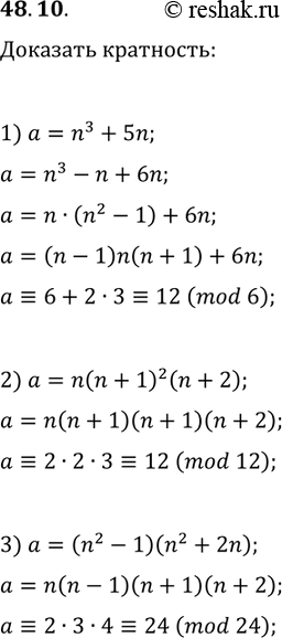
48.10. Докажите, что при любом n?Z является целым числом значение выражения: 1) (n^3+5n)/6; 2) n(n+1)^2 (n+2)/12; 3) (n^2-1)(n^2+2n)/24. *Цитирирование задания со ссылкой на учебник производится исключительно в учебных целях для лучшего понимания разбора решения задания.

Ниже вариант решения задания из учебника Мерзляк, Номировский, Поляков 10 класс, Просвещение:
48.10. Докажите, что при любом n?Z является целым числом значение выражения:
1) (n^3+5n)/6; 2) n(n+1)^2 (n+2)/12; 3) (n^2-1)(n^2+2n)/24.
