Упражнение 48.9 ГДЗ Мерзляк 10 класс Углубленный уровень (Алгебра)
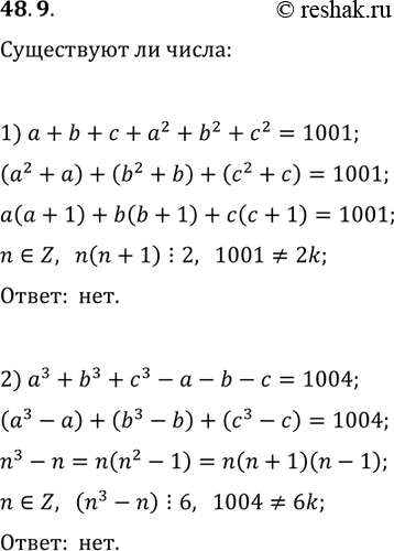
48.9. Существуют ли такие целые числа a, b и с, что: 1) a+b+c+a^2+b^2+c^2=1001; 2) a^3+b^3+c^3-a-b-c=1004? *Цитирирование задания со ссылкой на учебник производится исключительно в учебных целях для лучшего понимания разбора решения задания.

Ниже вариант решения задания из учебника Мерзляк, Номировский, Поляков 10 класс, Просвещение:
48.9. Существуют ли такие целые числа a, b и с, что:
1) a+b+c+a^2+b^2+c^2=1001; 2) a^3+b^3+c^3-a-b-c=1004?
