Упражнение 5.16 ГДЗ Мерзляк 10 класс Углубленный уровень (Алгебра)
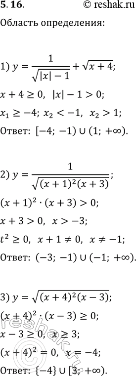
5.16. Найдите область определения функции: 1) y=1/v(|x|-1)+v(x+4); 3) y=v((x+4)^2 (x-3)). 2) y=1/v((x+1)^2 (x+3)); *Цитирирование задания со ссылкой на учебник производится исключительно в учебных целях для лучшего понимания разбора решения задания.

Ниже вариант решения задания из учебника Мерзляк, Номировский, Поляков 10 класс, Просвещение:
5.16. Найдите область определения функции:
1) y=1/v(|x|-1)+v(x+4); 3) y=v((x+4)^2 (x-3)).
2) y=1/v((x+1)^2 (x+3));
