Упражнение 5.18 ГДЗ Мерзляк 10 класс Углубленный уровень (Алгебра)
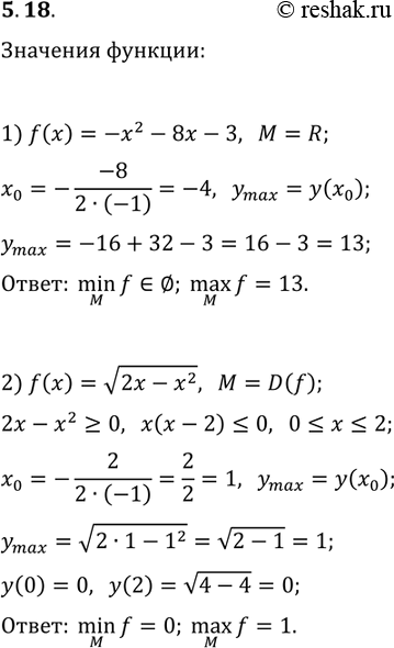
5.18. Найдите max(M, f(x)) и min(M, f(x)), если: 1) f(x)=-x^2-8x-3, M=R; 2) f(x)=v(2x-x^2), M=D(f). *Цитирирование задания со ссылкой на учебник производится исключительно в учебных целях для лучшего понимания разбора решения задания.

Ниже вариант решения задания из учебника Мерзляк, Номировский, Поляков 10 класс, Просвещение:
5.18. Найдите max(M, f(x)) и min(M, f(x)), если:
1) f(x)=-x^2-8x-3, M=R; 2) f(x)=v(2x-x^2), M=D(f).
