Упражнение 5.13 ГДЗ Мерзляк 10 класс Углубленный уровень (Алгебра)
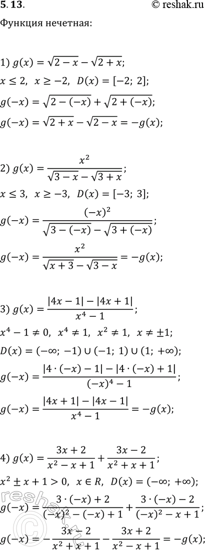
5.13. Докажите, что функция является нечётной: 1) g(x)=v(2-x)-v(2+x); 3) g(x)=(|4x-1|-|4x+1|)/(x^4-1); 2) g(x)=x^2/(v(3-x)-v(3+x)); 4) g(x)=(3x+2)/(x^2-x+1)+(3x-2)/(x^2+x+1). *Цитирирование задания со ссылкой на учебник производится исключительно в учебных целях для лучшего понимания разбора решения задания.

Ниже вариант решения задания из учебника Мерзляк, Номировский, Поляков 10 класс, Просвещение:
5.13. Докажите, что функция является нечётной:
1) g(x)=v(2-x)-v(2+x); 3) g(x)=(|4x-1|-|4x+1|)/(x^4-1);
2) g(x)=x^2/(v(3-x)-v(3+x)); 4) g(x)=(3x+2)/(x^2-x+1)+(3x-2)/(x^2+x+1).
