Упражнение 50.4 ГДЗ Мерзляк 10 класс Углубленный уровень (Алгебра)
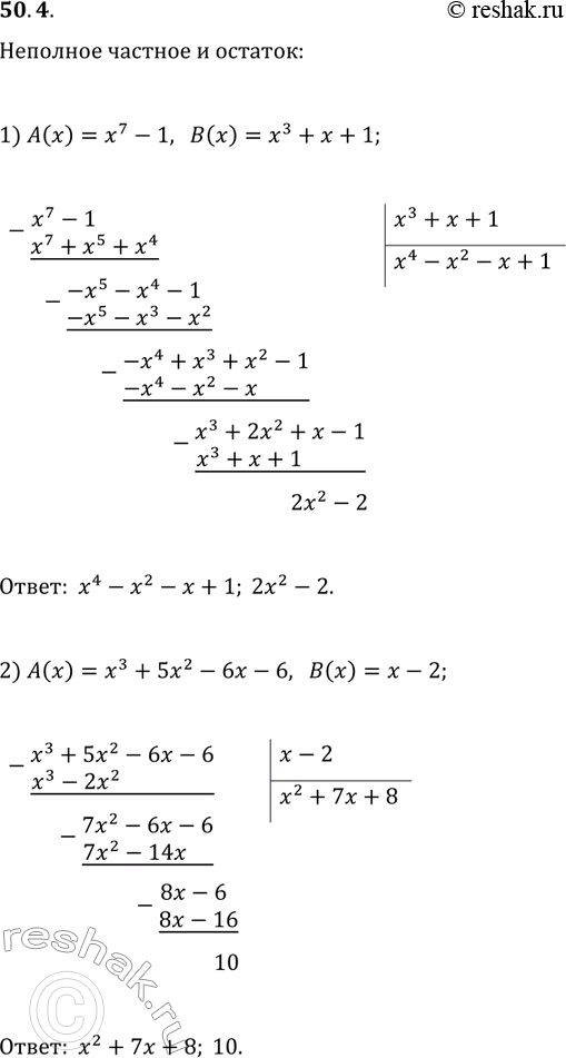
50.4. Разделив «уголком» многочлен A(х) на многочлен В(х), найдите неполное частное и остаток: 1) A(x)=x^7-1, B(x)=x^3+x+1; 2) A(x)=x^3+5x^2-6x-6, B(x)=x-2. *Цитирирование задания со ссылкой на учебник производится исключительно в учебных целях для лучшего понимания разбора решения задания.

Ниже вариант решения задания из учебника Мерзляк, Номировский, Поляков 10 класс, Просвещение:
50.4. Разделив «уголком» многочлен A(х) на многочлен В(х), найдите неполное частное и остаток:
1) A(x)=x^7-1, B(x)=x^3+x+1; 2) A(x)=x^3+5x^2-6x-6, B(x)=x-2.
