Упражнение 7.4 ГДЗ Мерзляк 10 класс Углубленный уровень (Алгебра)
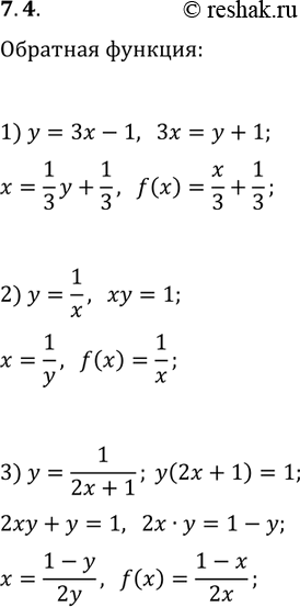
7.4. Найдите функцию, обратную к данной: 1) y=3x-1; 2) y=1/x; 3) y=1/(2x+1). *Цитирирование задания со ссылкой на учебник производится исключительно в учебных целях для лучшего понимания разбора решения задания.

Ниже вариант решения задания из учебника Мерзляк, Номировский, Поляков 10 класс, Просвещение:
7.4. Найдите функцию, обратную к данной:
1) y=3x-1; 2) y=1/x; 3) y=1/(2x+1).
