Упражнение 7.7 ГДЗ Мерзляк 10 класс Углубленный уровень (Алгебра)
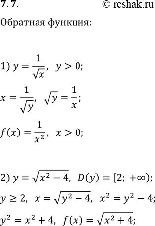
7.7. Найдите функцию, обратную к данной: 1) y=1/vx; 2) y=v(x^2-4), D(y)=[2; +?). *Цитирирование задания со ссылкой на учебник производится исключительно в учебных целях для лучшего понимания разбора решения задания.

Ниже вариант решения задания из учебника Мерзляк, Номировский, Поляков 10 класс, Просвещение:
7.7. Найдите функцию, обратную к данной:
1) y=1/vx; 2) y=v(x^2-4), D(y)=[2; +?).
