Упражнение 7.6 ГДЗ Мерзляк 10 класс Углубленный уровень (Алгебра)
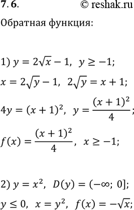
7.6. Найдите функцию, обратную к данной: 1) y=2vx-1; 2) y=x^2, D(y)=(-?; 0]. *Цитирирование задания со ссылкой на учебник производится исключительно в учебных целях для лучшего понимания разбора решения задания.
![Решение задачи: 7.6. Найдите функцию, обратную к данной: 1) y=2vx-1; 2) y=x^2, D(y)=(-?; 0]. *Цитирирование задания со ссылкой на учебник производится исключительно в учебных целях для лучшего понимания разбора решения задания.](solutions/algebra/10/635/1-7-6.png)
Ниже вариант решения задания из учебника Мерзляк, Номировский, Поляков 10 класс, Просвещение:
7.6. Найдите функцию, обратную к данной:
1) y=2vx-1; 2) y=x^2, D(y)=(-?; 0].
