Упражнение 7.5 ГДЗ Мерзляк 10 класс Углубленный уровень (Алгебра)
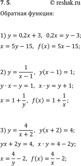
7.5. Найдите функцию, обратную к данной: 1) y=0,2x+3; 2) y=1/(x-1); 3) y=4/(x+2). *Цитирирование задания со ссылкой на учебник производится исключительно в учебных целях для лучшего понимания разбора решения задания.

Ниже вариант решения задания из учебника Мерзляк, Номировский, Поляков 10 класс, Просвещение:
7.5. Найдите функцию, обратную к данной:
1) y=0,2x+3; 2) y=1/(x-1); 3) y=4/(x+2).
