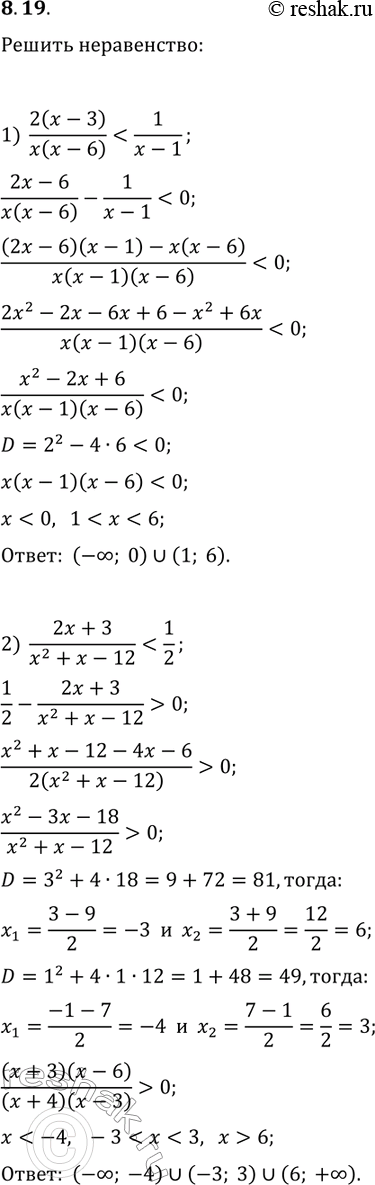
Упражнение 8.19 ГДЗ Мерзляк 10 класс Углубленный уровень (Алгебра)
8.19. Решите неравенство: 1) 2(x-3)/(x(x-6)) 2) (2x+3)/(x^2+x-12) *Цитирирование задания со ссылкой на учебник производится исключительно в учебных целях для лучшего понимания разбора решения задания.
Ниже вариант решения задания из учебника Мерзляк, Номировский, Поляков 10 класс, Просвещение:
8.19. Решите неравенство:
1) 2(x-3)/(x(x-6))
2) (2x+3)/(x^2+x-12)

