Упражнение 8.21 ГДЗ Мерзляк 10 класс Углубленный уровень (Алгебра)
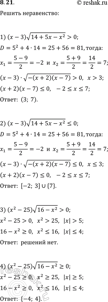
8.21. Решите неравенство: 1) (x-3)v(14+5x-x^2) > 0; 3) (x^2-25)v(16-x^2) > 0; 2) (x-3)v(14+5x-x^2)?0; 4) (x^2-25)v(16-x^2)?0. *Цитирирование задания со ссылкой на учебник производится исключительно в учебных целях для лучшего понимания разбора решения задания.

Ниже вариант решения задания из учебника Мерзляк, Номировский, Поляков 10 класс, Просвещение:
8.21. Решите неравенство:
1) (x-3)v(14+5x-x^2) > 0; 3) (x^2-25)v(16-x^2) > 0;
2) (x-3)v(14+5x-x^2)?0; 4) (x^2-25)v(16-x^2)?0.
