Упражнение 8.18 ГДЗ Мерзляк 10 класс Углубленный уровень (Алгебра)
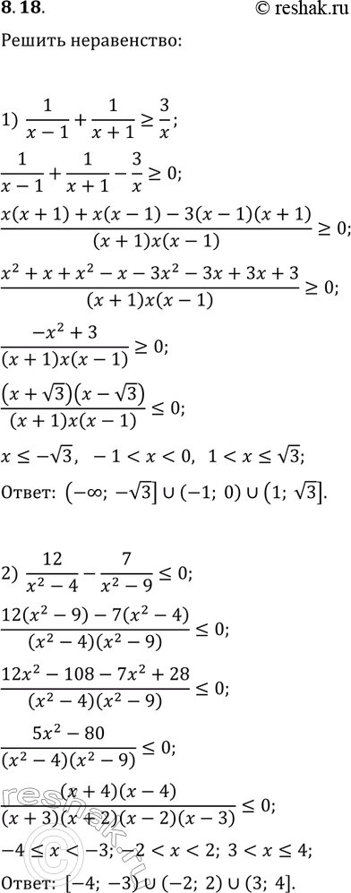
8.18. Решите неравенство: 1) 1/(x-1)+1/(x+1)?3/x; 2) 12/(x^2-4)-7/(x^2-9)?0. *Цитирирование задания со ссылкой на учебник производится исключительно в учебных целях для лучшего понимания разбора решения задания.

Ниже вариант решения задания из учебника Мерзляк, Номировский, Поляков 10 класс, Просвещение:
8.18. Решите неравенство:
1) 1/(x-1)+1/(x+1)?3/x;
2) 12/(x^2-4)-7/(x^2-9)?0.
