Упражнение 8.17 ГДЗ Мерзляк 10 класс Углубленный уровень (Алгебра)
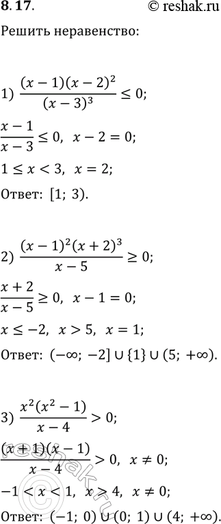
8.17. Решите перавенство: 1) (x-1)(x-2)^2/(x-3)^3?0; 2) (x-1)^2 (x+2)^3/(x-5)?0; 3) x^2 (x^2-1)/(x-4) > 0. *Цитирирование задания со ссылкой на учебник производится исключительно в учебных целях для лучшего понимания разбора решения задания.

Ниже вариант решения задания из учебника Мерзляк, Номировский, Поляков 10 класс, Просвещение:
8.17. Решите перавенство:
1) (x-1)(x-2)^2/(x-3)^3?0;
2) (x-1)^2 (x+2)^3/(x-5)?0;
3) x^2 (x^2-1)/(x-4) > 0.
