Упражнение 2.1 ГДЗ Мерзляк 11 класс Базовый уровень (Алгебра)
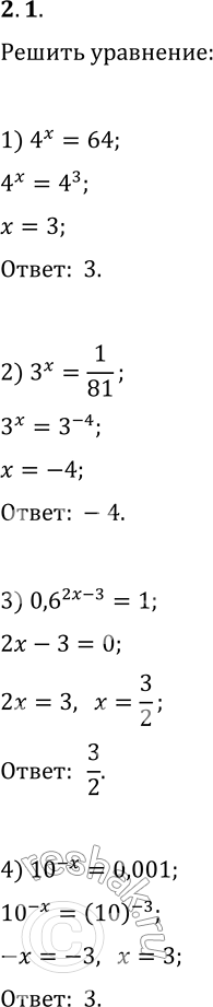
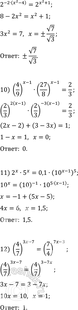
2.1. Решите уравнение: 1) 4^x=64; 9) 0,25^(x^2-4)=2^(x^2+1); 2) 3^x=1/81; 10) (4/9)^(x-1)·(27/8)^(x-1)=2/3; 3) 0,6^(2x-3)=1; 11) 2^x·5^x=0,1·(10^(x-1))^5; 4) 10^(-x)=0,001; 12) (4/7)^(3x-7)=(7/4)^(7x-3); 5) 2^(5-x)=2^(3x-7);




Ниже вариант решения задания из учебника Мерзляк, Номировский, Полонский 11 класс, Просвещение:
2.1. Решите уравнение:
1) 4^x=64; 9) 0,25^(x^2-4)=2^(x^2+1);
2) 3^x=1/81; 10) (4/9)^(x-1)·(27/8)^(x-1)=2/3;
3) 0,6^(2x-3)=1; 11) 2^x·5^x=0,1·(10^(x-1))^5;
4) 10^(-x)=0,001; 12) (4/7)^(3x-7)=(7/4)^(7x-3);
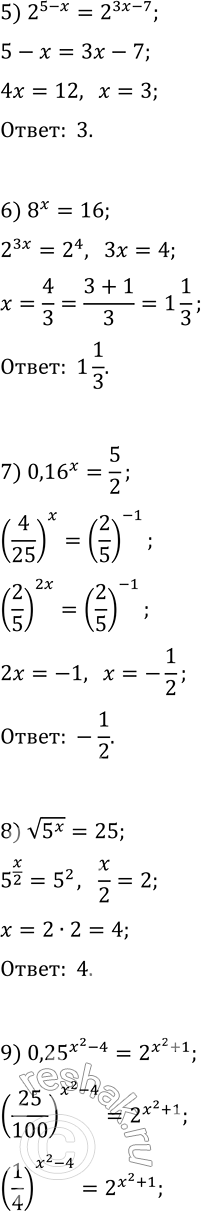
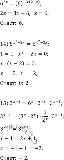
5) 2^(5-x)=2^(3x-7); 13) 36^x=(1/216)^(2-x);
6) 8^x=16; 14) 5^(x^2-2x)=6^(x^2-2x);
7) 0,16^x=5/2; 15) 3^(x-1)=6^x·2^(-x)·3^(x+1).
8) v(5^x)=25;
