Упражнение 2.2 ГДЗ Мерзляк 11 класс Базовый уровень (Алгебра)
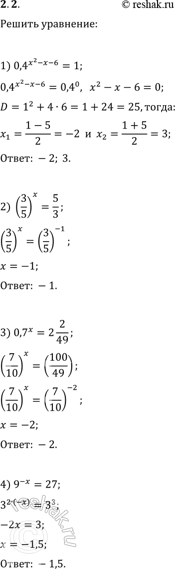
2.2. Решите уравнение: 1) 0,4^(x^2-x-6)=1; 7) 100^x=0,01v10; 2) (3/5)^x=5/3; 8) (2/5)^x·(25/8)^x=125/64; 3) 0,7^x=2 2/49; 9) 2^(x-1)·3^(x-1)=1/36·6^(2x+5); 4) 9^(-x)=27; 10) 32^(3/5 x-2)=4^(6-3/2 x);



Ниже вариант решения задания из учебника Мерзляк, Номировский, Полонский 11 класс, Просвещение:
2.2. Решите уравнение:
1) 0,4^(x^2-x-6)=1; 7) 100^x=0,01v10;
2) (3/5)^x=5/3; 8) (2/5)^x·(25/8)^x=125/64;
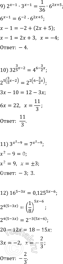
3) 0,7^x=2 2/49; 9) 2^(x-1)·3^(x-1)=1/36·6^(2x+5);
4) 9^(-x)=27; 10) 32^(3/5 x-2)=4^(6-3/2 x);
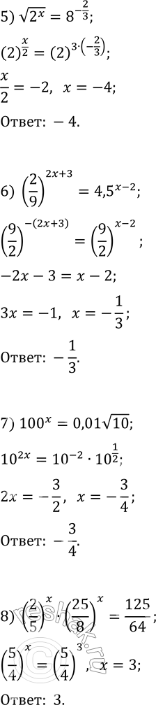
5) v(2^x)=8^(-2/3); 11) 3^(x^2-9)=7^(x^2-9);
6) (2/9)^(2x+3)=4,5^(x-2); 12) 16^(5-3x)=0,125^(5x-6).
