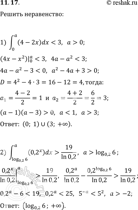
Упражнение 11.17 ГДЗ Мерзляк 11 класс Базовый уровень (Алгебра)
11.17. При каких значениях а выполняется неравенство: 1) ?(0; a)(4-2x)dx 0; 2) ?(log_0,2 6; a)0,2^xdx > 19/ln 0,2, где a >

Ниже вариант решения задания из учебника Мерзляк, Номировский, Полонский 11 класс, Просвещение:
11.17. При каких значениях а выполняется неравенство:
1) ?(0; a)(4-2x)dx 0;
2) ?(log_0,2 6; a)0,2^xdx > 19/ln 0,2, где a > log_0,2 6?
