Упражнение 11.21 ГДЗ Мерзляк 11 класс Базовый уровень (Алгебра)
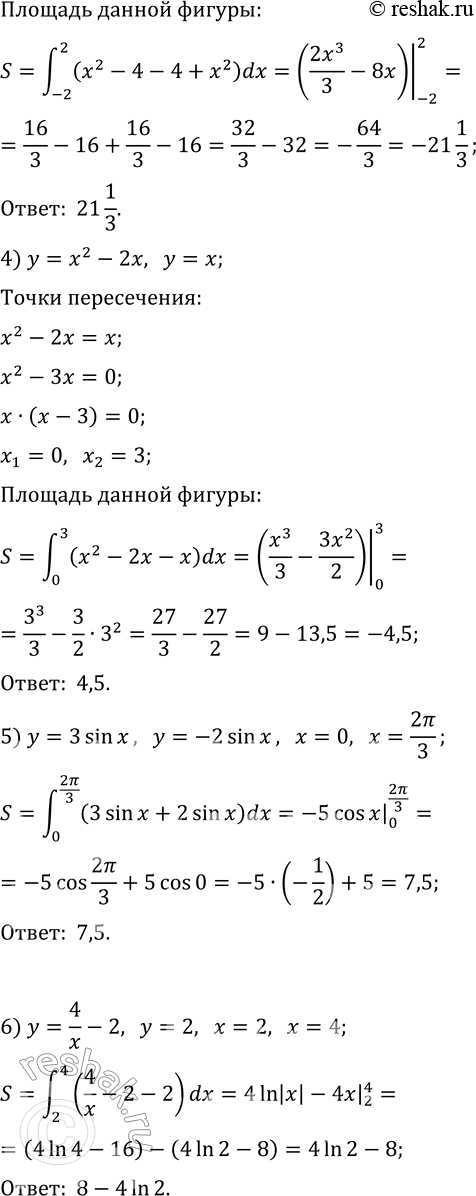
11.21. Найдите площадь фигуры, ограниченной линиями: 1) y=x^2-3x-4, y=0, x=0, x=3; 2) y=-x^2, y=x-2; 3) y=x^2-4, y=4-x^2; 4) y=x^2-2x, y=x; 5) y=3sin(x), y=-2sin(x), x=0, x=2?/3;


Ниже вариант решения задания из учебника Мерзляк, Номировский, Полонский 11 класс, Просвещение:
11.21. Найдите площадь фигуры, ограниченной линиями:
1) y=x^2-3x-4, y=0, x=0, x=3;
2) y=-x^2, y=x-2;
3) y=x^2-4, y=4-x^2;
4) y=x^2-2x, y=x;
5) y=3sin(x), y=-2sin(x), x=0, x=2?/3;
6) y=4/x-2, y=2, x=2, x=4.
