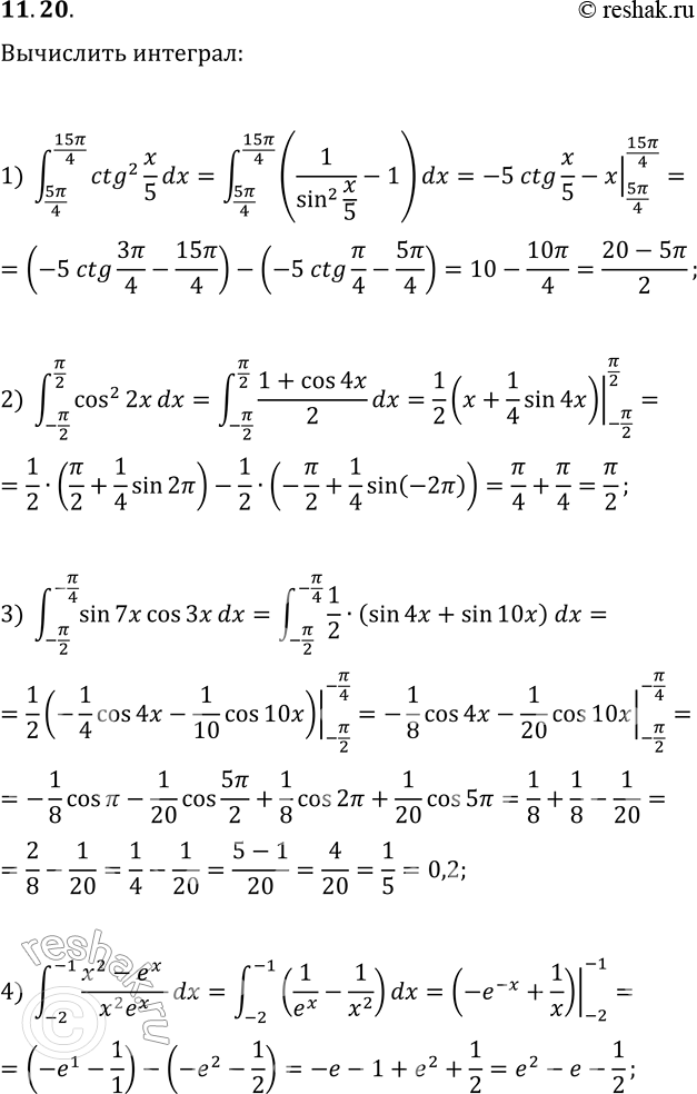
Упражнение 11.20 ГДЗ Мерзляк 11 класс Базовый уровень (Алгебра)
11.20. Вычислите определённый интеграл: 1) ?(5?/4; 15?/4)ctg^2(x/5)dx; 3) ?(-?/2; -?/4)sin(7x)cos(3x)dx; 2) ?(-?/2; ?/2)cos^2(2x)dx; 4) ?(-2; -1)(x^2-e^x)/(x^2 e^x)dx. *Цитирирование задания со ссылкой на учебник производится исключительно в учебных целях для лучшего понимания разбора решения задания.

Ниже вариант решения задания из учебника Мерзляк, Номировский, Полонский 11 класс, Просвещение:
11.20. Вычислите определённый интеграл:
1) ?(5?/4; 15?/4)ctg^2(x/5)dx; 3) ?(-?/2; -?/4)sin(7x)cos(3x)dx;
2) ?(-?/2; ?/2)cos^2(2x)dx; 4) ?(-2; -1)(x^2-e^x)/(x^2 e^x)dx.
