Упражнение 16.3 ГДЗ Мерзляк 11 класс Базовый уровень (Алгебра)
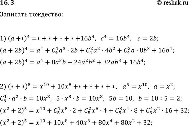
16.3. Замените звёздочки такими одночленами, чтобы образовалось тождество: 1) (a+*)^4=*+*+*+*+16b^4; 2) (*+*)^5=x^10+10x^8+*+*+*+*. *Цитирирование задания со ссылкой на учебник производится исключительно в учебных целях для лучшего понимания разбора решения задания.

Ниже вариант решения задания из учебника Мерзляк, Номировский, Полонский 11 класс, Просвещение:
16.3. Замените звёздочки такими одночленами, чтобы образовалось тождество:
1) (a+*)^4=*+*+*+*+16b^4; 2) (*+*)^5=x^10+10x^8+*+*+*+*.
