Упражнение 16.4 ГДЗ Мерзляк 11 класс Базовый уровень (Алгебра)
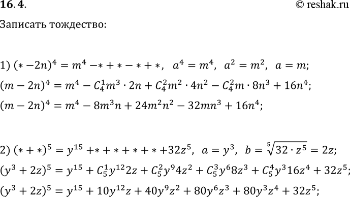
16.4. Замените звёздочки такими одночленами, чтобы образовалось тождество: 1) (*-2n)^4=m^4-*+*-*+*; 2) (*+*)^5=y^15+*+*+*+*+32z^5. *Цитирирование задания со ссылкой на учебник производится исключительно в учебных целях для лучшего понимания разбора решения задания.

Ниже вариант решения задания из учебника Мерзляк, Номировский, Полонский 11 класс, Просвещение:
16.4. Замените звёздочки такими одночленами, чтобы образовалось тождество:
1) (*-2n)^4=m^4-*+*-*+*; 2) (*+*)^5=y^15+*+*+*+*+32z^5.
