Упражнение 2.18 ГДЗ Мерзляк 11 класс Базовый уровень (Алгебра)
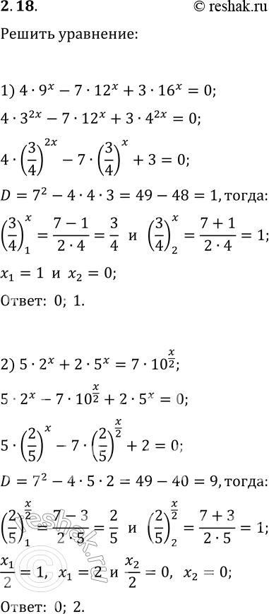
2.18. Решите уравнение: 1) 4·9^x-7·12^x+3·16^x=0; 2) 5·2^x+2·5^x=7·10^(x/2). *Цитирирование задания со ссылкой на учебник производится исключительно в учебных целях для лучшего понимания разбора решения задания.

Ниже вариант решения задания из учебника Мерзляк, Номировский, Полонский 11 класс, Просвещение:
2.18. Решите уравнение:
1) 4·9^x-7·12^x+3·16^x=0; 2) 5·2^x+2·5^x=7·10^(x/2).
