Упражнение 2.16 ГДЗ Мерзляк 11 класс Базовый уровень (Алгебра)
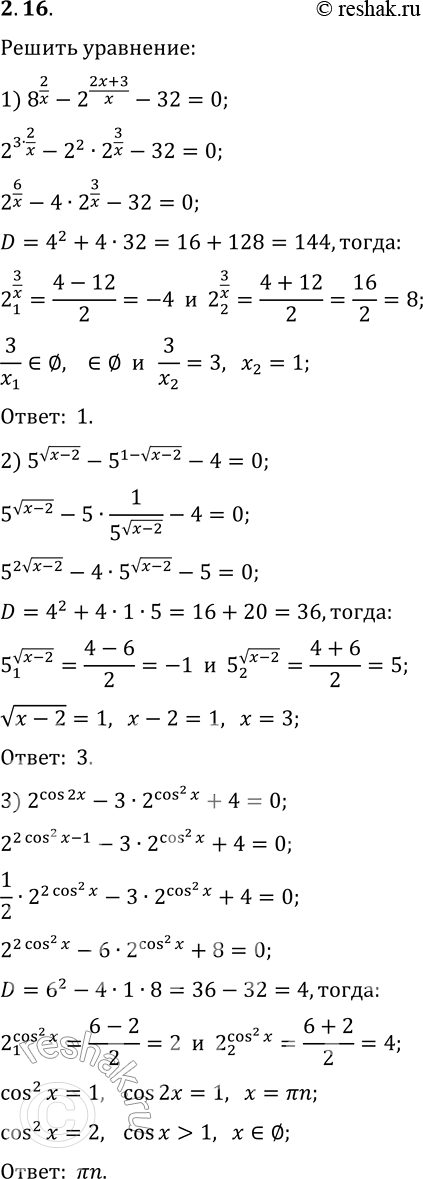
2.16. Решите уравнение: 1) 8^(2/x)-2^((2x+3)/x)-32=0; 3) 2^(cos(2x))-3·2^(cos^2(x))+4=0. 2) 5^(v(x-2))-5^(1-v(x-2))-4=0; *Цитирирование задания со ссылкой на учебник производится исключительно в учебных целях для лучшего понимания разбора решения задания.

Ниже вариант решения задания из учебника Мерзляк, Номировский, Полонский 11 класс, Просвещение:
2.16. Решите уравнение:
1) 8^(2/x)-2^((2x+3)/x)-32=0; 3) 2^(cos(2x))-3·2^(cos^2(x))+4=0.
2) 5^(v(x-2))-5^(1-v(x-2))-4=0;
