Упражнение 2.14 ГДЗ Мерзляк 11 класс Базовый уровень (Алгебра)
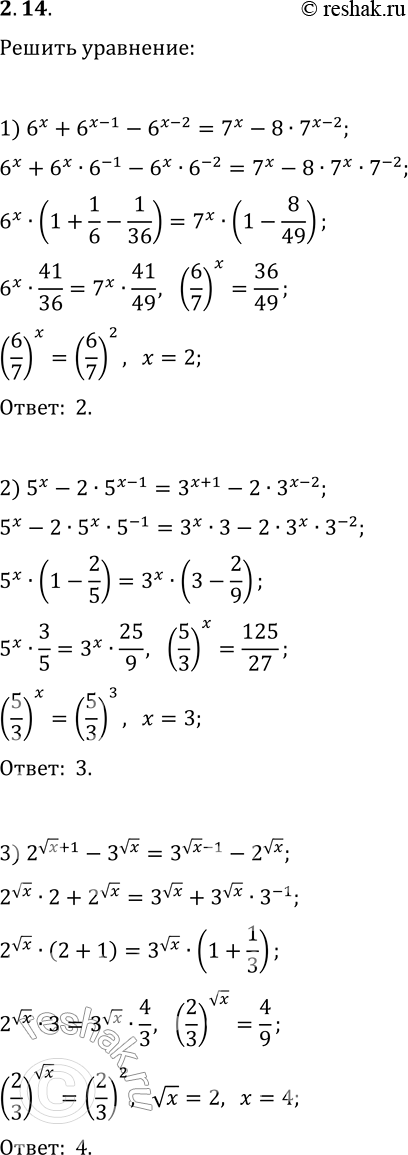
2.14. Решите уравнение: 1) 6^x+6^(x-1)-6^(x-2)=7^x-8·7^(x-2); 2) 5^x-2·5^(x-1)=3^(x+1)-2·3^(x-2); 3) 2^(vx+1)-3^(vx)=3^(vx-1)-2^(vx). *Цитирирование задания со ссылкой на учебник производится исключительно в учебных целях для лучшего понимания разбора решения задания.

Ниже вариант решения задания из учебника Мерзляк, Номировский, Полонский 11 класс, Просвещение:
2.14. Решите уравнение:
1) 6^x+6^(x-1)-6^(x-2)=7^x-8·7^(x-2);
2) 5^x-2·5^(x-1)=3^(x+1)-2·3^(x-2);
3) 2^(vx+1)-3^(vx)=3^(vx-1)-2^(vx).
