Упражнение 2.13 ГДЗ Мерзляк 11 класс Базовый уровень (Алгебра)
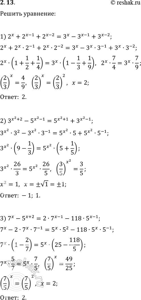
2.13. Решите уравнение: 1) 2^x+2^(x-1)+2^(x-2)=3^x-3^(x-1)+3^(x-2); 2) 3^(x^2+2)-5^(x^2-1)=5^(x^2+1)+3^(x^2-1); 3) 7^x-5^(x+2)=2·7^(x-1)-118·5^(x-1). *Цитирирование задания со ссылкой на учебник производится исключительно в учебных целях для лучшего понимания разбора решения задания.

Ниже вариант решения задания из учебника Мерзляк, Номировский, Полонский 11 класс, Просвещение:
2.13. Решите уравнение:
1) 2^x+2^(x-1)+2^(x-2)=3^x-3^(x-1)+3^(x-2);
2) 3^(x^2+2)-5^(x^2-1)=5^(x^2+1)+3^(x^2-1);
3) 7^x-5^(x+2)=2·7^(x-1)-118·5^(x-1).
