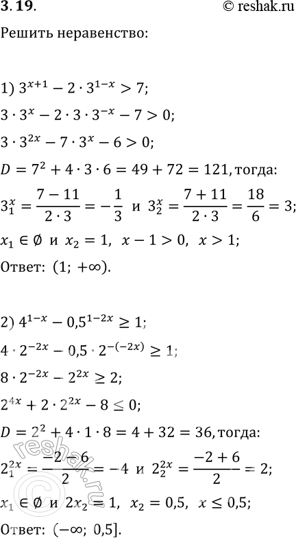
Упражнение 3.19 ГДЗ Мерзляк 11 класс Базовый уровень (Алгебра)
3.19. Найдите множество решений неравенства: 1) 3^(x+1)-2·3^(1-x) > 7; 2) 4^(1-x)-0,5^(1-2x)?1. *Цитирирование задания со ссылкой на учебник производится исключительно в учебных целях для лучшего понимания разбора решения задания.

Ниже вариант решения задания из учебника Мерзляк, Номировский, Полонский 11 класс, Просвещение:
3.19. Найдите множество решений неравенства:
1) 3^(x+1)-2·3^(1-x) > 7; 2) 4^(1-x)-0,5^(1-2x)?1.
