Упражнение 3.15 ГДЗ Мерзляк 11 класс Базовый уровень (Алгебра)
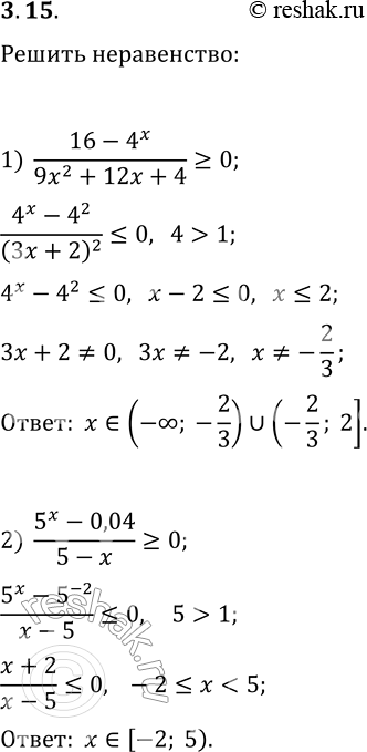
3.15. Решите неравенство: 1) (16-4^x)/(9x^2+12x+4)?0; 2) (5^x-0,04)/(5-x)?0. *Цитирирование задания со ссылкой на учебник производится исключительно в учебных целях для лучшего понимания разбора решения задания.

Ниже вариант решения задания из учебника Мерзляк, Номировский, Полонский 11 класс, Просвещение:
3.15. Решите неравенство:
1) (16-4^x)/(9x^2+12x+4)?0; 2) (5^x-0,04)/(5-x)?0.
