Упражнение 3.20 ГДЗ Мерзляк 11 класс Базовый уровень (Алгебра)
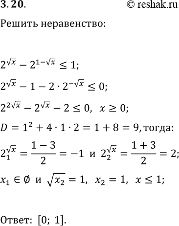
3.20. Решите неравенство 2^(vx)-2^(1-vx)?1. *Цитирирование задания со ссылкой на учебник производится исключительно в учебных целях для лучшего понимания разбора решения задания.

Ниже вариант решения задания из учебника Мерзляк, Номировский, Полонский 11 класс, Просвещение:
3.20. Решите неравенство 2^(vx)-2^(1-vx)?1.
