Упражнение 3.17 ГДЗ Мерзляк 11 класс Базовый уровень (Алгебра)
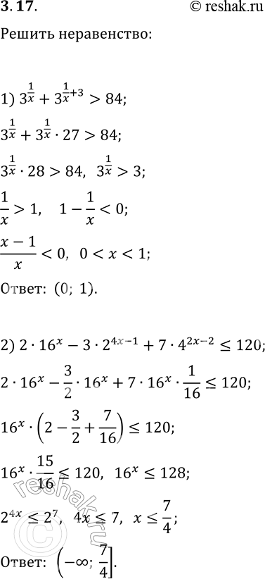
3.17. Решите неравенство: 1) 3^(1/x)+3^(1/x+3) > 84; 2) 2·16^x-3·2^(4x-1)+7·4^(2x-2)?120. *Цитирирование задания со ссылкой на учебник производится исключительно в учебных целях для лучшего понимания разбора решения задания.

Ниже вариант решения задания из учебника Мерзляк, Номировский, Полонский 11 класс, Просвещение:
3.17. Решите неравенство:
1) 3^(1/x)+3^(1/x+3) > 84; 2) 2·16^x-3·2^(4x-1)+7·4^(2x-2)?120.
