Упражнение 7.2 ГДЗ Мерзляк 11 класс Базовый уровень (Алгебра)
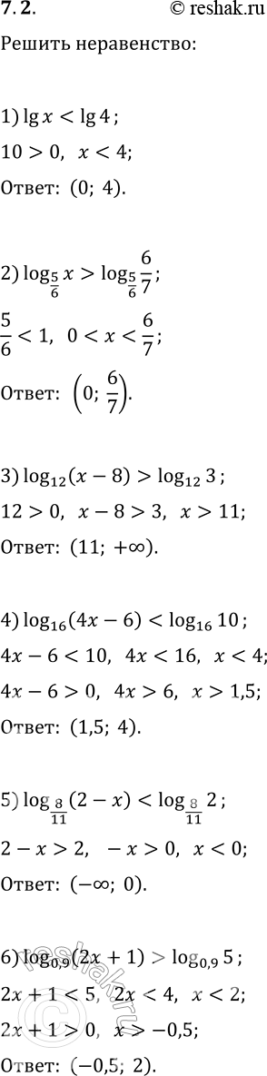
7.2. Решите неравенство: 1) lg x 2) log_(5/6) x > log_(5/6) (6/7); 5) log_(8/11) (2-x) 3) log_12 (x-8) > log_12 3;
Ниже вариант решения задания из учебника Мерзляк, Номировский, Полонский 11 класс, Просвещение:
7.2. Решите неравенство:
1) lg x
2) log_(5/6) x > log_(5/6) (6/7); 5) log_(8/11) (2-x)
3) log_12 (x-8) > log_12 3; 6) log_0,9 (2x+1) > log_0,9 5.

