Упражнение 7.4 ГДЗ Мерзляк 11 класс Базовый уровень (Алгебра)
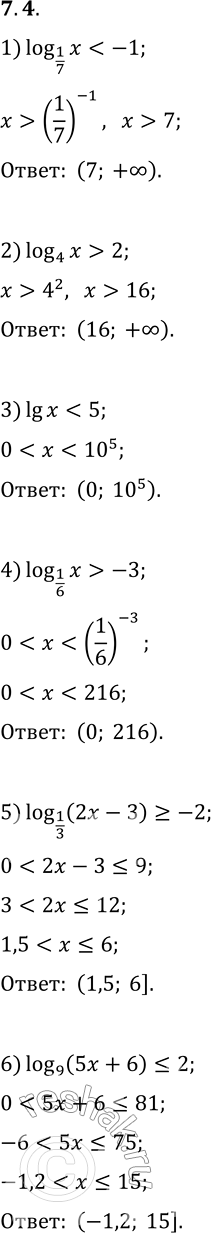
7.4. Решите неравенство: 1) log_(1/7) x 2) log_4 x > 2; 4) log_(1/6) x > -3; 6) log_9 (5x+6)?2. *Цитирирование задания со ссылкой на учебник производится исключительно в учебных целях для лучшего понимания разбора решения задания.

Ниже вариант решения задания из учебника Мерзляк, Номировский, Полонский 11 класс, Просвещение:
7.4. Решите неравенство:
1) log_(1/7) x
2) log_4 x > 2; 4) log_(1/6) x > -3; 6) log_9 (5x+6)?2.
