Упражнение 7.3 ГДЗ Мерзляк 11 класс Базовый уровень (Алгебра)
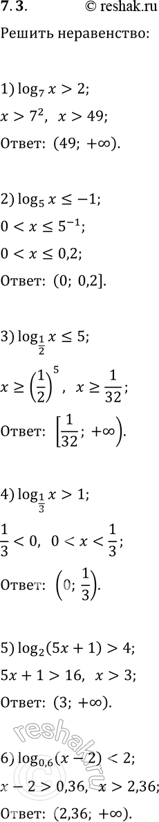
7.3. Решите неравенство: 1) log_7 x > 2; 5) log_2 (5x+1) > 4; 9) log_0,5 (2x+1)?-2; 2) log_5 x?-1; 6) log_0,6 (x-2) 3) log_(1/2) x?5;


Ниже вариант решения задания из учебника Мерзляк, Номировский, Полонский 11 класс, Просвещение:
7.3. Решите неравенство:
1) log_7 x > 2; 5) log_2 (5x+1) > 4; 9) log_0,5 (2x+1)?-2;
2) log_5 x?-1; 6) log_0,6 (x-2)
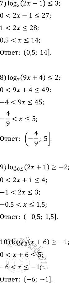
3) log_(1/2) x?5; 7) log_3 (2x-1)?3;
4) log_(1/3) x > 1; 8) log_7 (9x+4)?2;
