Упражнение 9.1 ГДЗ Мерзляк 11 класс Базовый уровень (Алгебра)
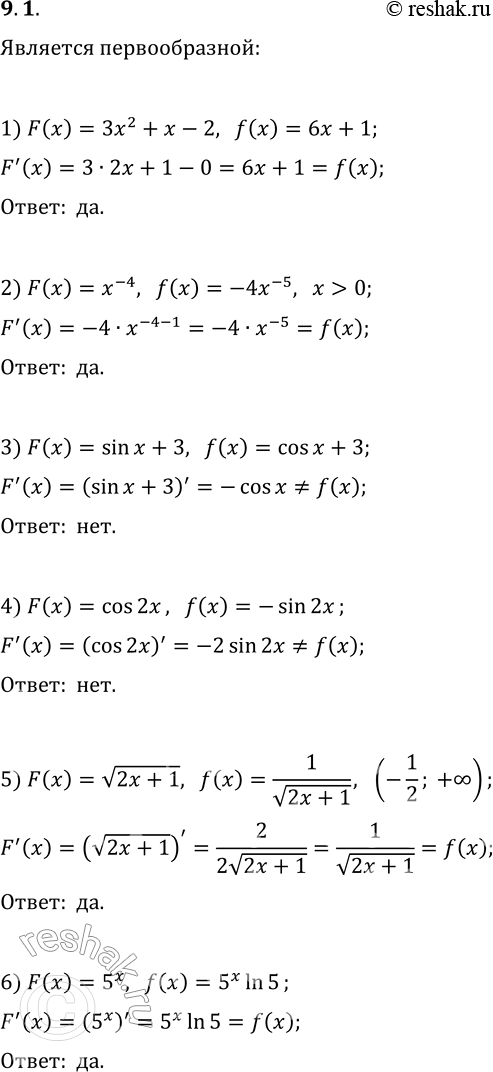
9.1. Определите, является ли функция F первообразной функции f: 1) F(x)=3x^2+x-2, f(x)=6x+1; 2) F(x)=x^(-4), f(x)=-4x^(-5) на промежутке (0; +?); 3) F(x)=sin(x)+3, f(x)=cos(x)+3;

Ниже вариант решения задания из учебника Мерзляк, Номировский, Полонский 11 класс, Просвещение:
9.1. Определите, является ли функция F первообразной функции f:
1) F(x)=3x^2+x-2, f(x)=6x+1;
2) F(x)=x^(-4), f(x)=-4x^(-5) на промежутке (0; +?);
3) F(x)=sin(x)+3, f(x)=cos(x)+3;
4) F(x)=cos(2x), f(x)=-sin(2x);
5) F(x)=v(2x+1), f(x)=1/sqrt(2x+1) на промежутке (-1/2; +?);
6) F(x)=5^x, f(x)=5^x ln 5.
