Упражнение 9.5 ГДЗ Мерзляк 11 класс Базовый уровень (Алгебра)
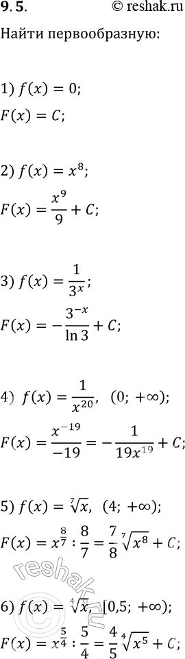
9.5. Найдите общий вид первообразных функции: 1) f(x)=0; 4) f(x)=1/x^20 на промежутке (0; +?); 2) f(x)=x^8; 5) f(x)=x^(1/7) на промежутке (4;

Ниже вариант решения задания из учебника Мерзляк, Номировский, Полонский 11 класс, Просвещение:
9.5. Найдите общий вид первообразных функции:
1) f(x)=0; 4) f(x)=1/x^20 на промежутке (0; +?);
2) f(x)=x^8; 5) f(x)=x^(1/7) на промежутке (4; +?);
3) f(x)=1/3^x; 6) f(x)=x^(1/4) на промежутке [0,5; +?).
