Упражнение 9.4 ГДЗ Мерзляк 11 класс Базовый уровень (Алгебра)
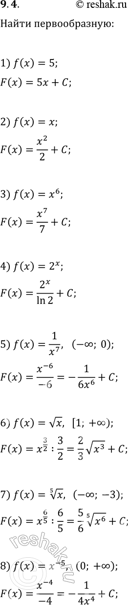
9.4. Найдите общий вид первообразных функции: 1) f(x)=5; 5) f(x)=1/x^7 на промежутке (-?; 0); 2) f(x)=x; 6) f(x)=vx на промежутке [1;

Ниже вариант решения задания из учебника Мерзляк, Номировский, Полонский 11 класс, Просвещение:
9.4. Найдите общий вид первообразных функции:
1) f(x)=5; 5) f(x)=1/x^7 на промежутке (-?; 0);
2) f(x)=x; 6) f(x)=vx на промежутке [1; +?);
3) f(x)=x^6; 7) f(x)=x^(1/5) на промежутке (-?; -3);
4) f(x)=2^x; 8) f(x)=x^(-5) на промежутке (0; +?).
