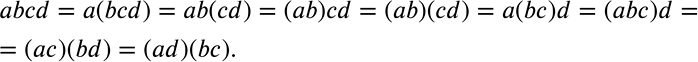
Упражнение 3.16 ГДЗ Дорофеев Суворова 7 класс (Алгебра)
Запишите с помощью букв и скобок несколько разных способов вычисления произведения четырёх чисел. Ответ запишите в виде цепочки равенств. *Цитирирование задания со ссылкой на учебник производится исключительно в учебных целях для лучшего понимания разбора решения задания.

Ниже вариант решения задания из учебника Дорофеев, Суворова, Бунимович 7 класс, Просвещение:
Запишите с помощью букв и скобок несколько разных способов вычисления произведения четырёх чисел. Ответ запишите в виде цепочки равенств.
