Упражнение 3.13 ГДЗ Дорофеев Суворова 7 класс (Алгебра)
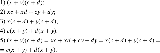
Составьте несколько различных выражений для вычисления площади прямоугольника (рис. 3.4) и запишите цепочку равенств. *Цитирирование задания со ссылкой на учебник производится исключительно в учебных целях для лучшего понимания разбора решения задания.

Ниже вариант решения задания из учебника Дорофеев, Суворова, Бунимович 7 класс, Просвещение:
Составьте несколько различных выражений для вычисления площади прямоугольника (рис. 3.4) и запишите цепочку равенств.
