Упражнение 3.15 ГДЗ Дорофеев Суворова 7 класс (Алгебра)
Запишите с помощью букв приём, используя который можно разделить: а) сумму трёх чисел на некоторое число; б) сумму четырёх чисел на некоторое число.

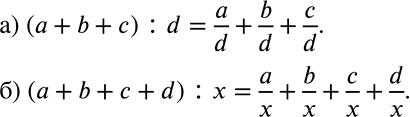
Ниже вариант решения задания из учебника Дорофеев, Суворова, Бунимович 7 класс, Просвещение:
Запишите с помощью букв приём, используя который можно разделить:
а) сумму трёх чисел на некоторое число;
б) сумму четырёх чисел на некоторое число.
