Упражнение 3.14 ГДЗ Дорофеев Суворова 7 класс (Алгебра)
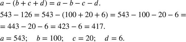
Работаем с символами (242 — 244) 242 Запишите без скобок выражение а - (b + с + d). Если вам трудно сделать это сразу, то обратитесь к числовому примеру:

Ниже вариант решения задания из учебника Дорофеев, Суворова, Бунимович 7 класс, Просвещение:
Работаем с символами (242 — 244)
242 Запишите без скобок выражение
а - (b + с + d).
Если вам трудно сделать это сразу, то обратитесь к числовому примеру:
543 - 126 = 543 - (100 + 20 + 6) = ... .
Какое число в этом примере записано вместо буквы а? вместо буквы b? вместо буквы с? вместо буквы d?
