Упражнение 3.63 ГДЗ Дорофеев Суворова 7 класс (Алгебра)
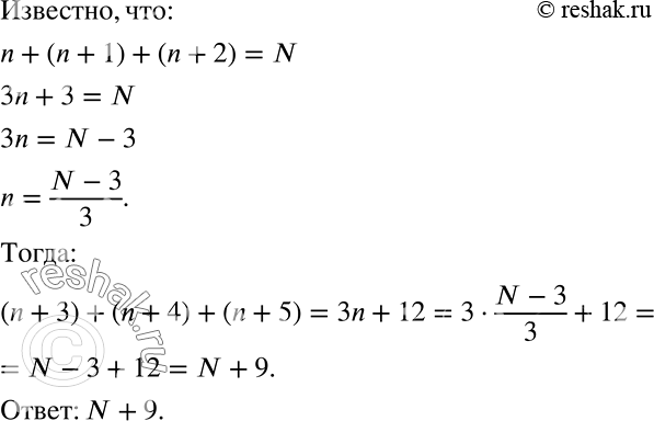
Пусть сумма трёх последовательных натуральных чисел равна N. Найдите сумму трёх следующих натуральных чисел. *Цитирирование задания со ссылкой на учебник производится исключительно в учебных целях для лучшего понимания разбора решения задания.

Ниже вариант решения задания из учебника Дорофеев, Суворова, Бунимович 7 класс, Просвещение:
Пусть сумма трёх последовательных натуральных чисел равна N. Найдите сумму трёх следующих натуральных чисел.
